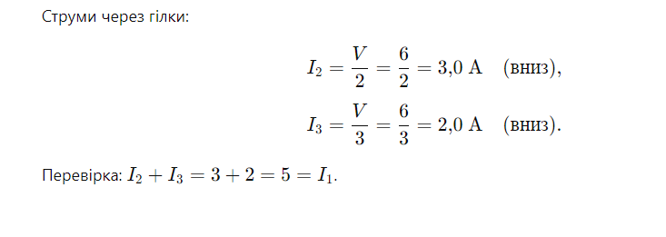
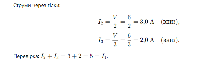
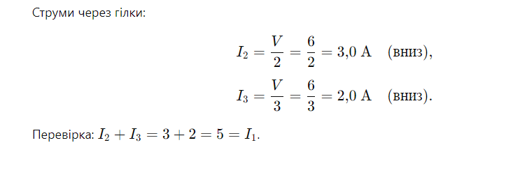
share your pictures on forums, chats, anywhere

2025 11 14 00 56 23 png