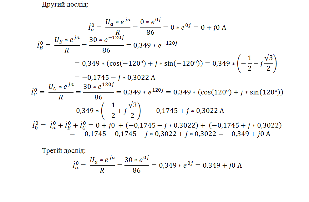
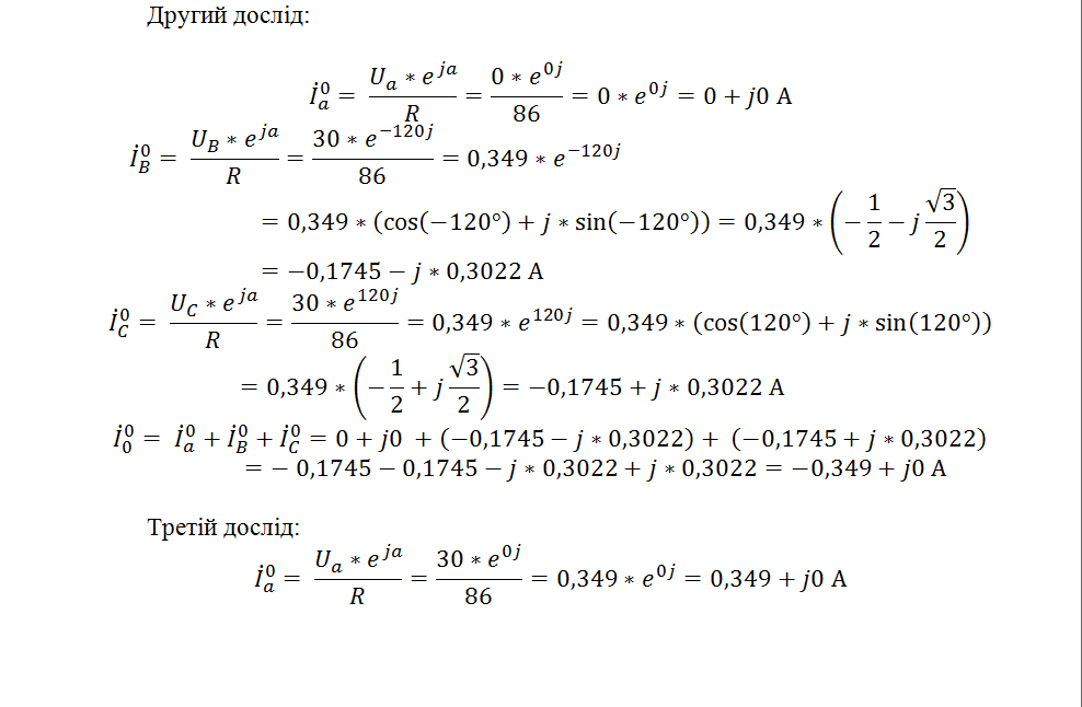
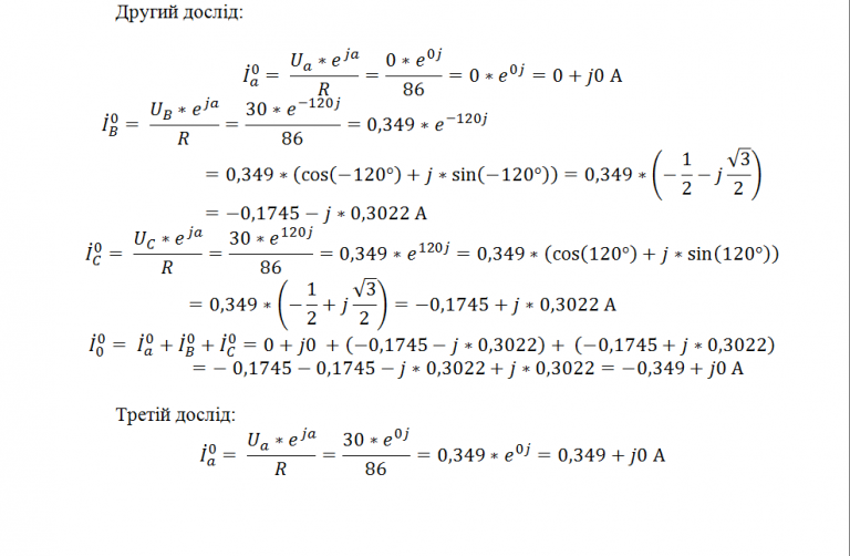
share your pictures on forums, chats, anywhere

2025 11 19 02 54 23 png