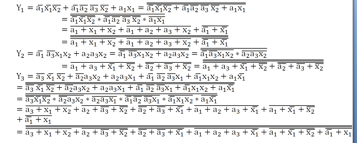
share your pictures on forums, chats, anywhere

2025 10 31 11 01 32 png