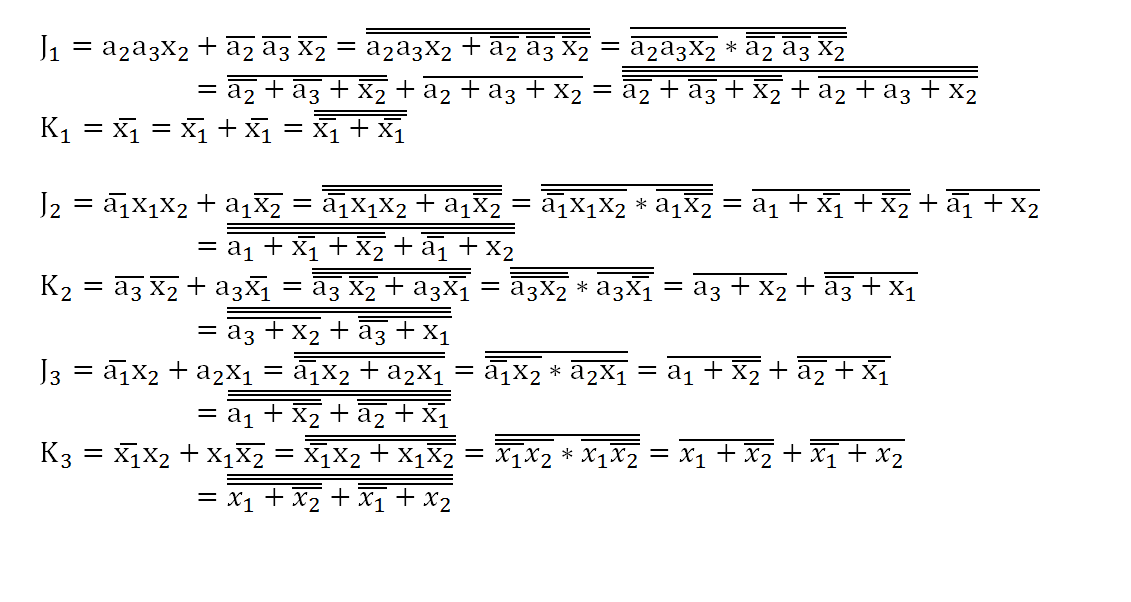
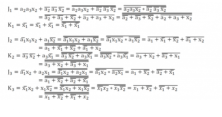
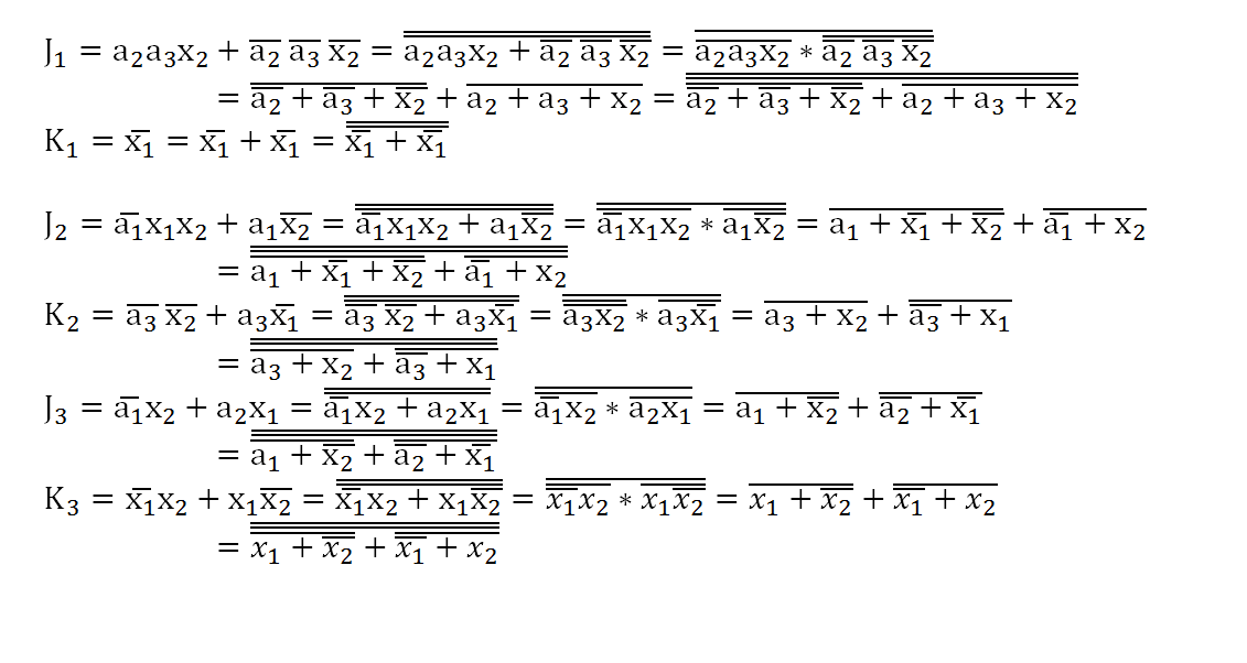
share your pictures on forums, chats, anywhere

2025 10 29 16 04 25 png